Hiệu quả bất ngờ của văcxin trong việc giảm tỷ lệ lây nhiễm trong gia đình

Một công bố nghiên cứu mới sẽ cho ta biết tỷ lệ lây nhiễm COVID-19 liên quan đến số người đã mắc bệnh và được tiêm văcxin trong gia đình.

GS Nguyễn Văn Tuấn, Giám đốc Trung tâm Công nghệ Y tế thuộc Đại học Công nghệ Sydney và Giáo sư kiêm nhiệm dịch tễ học và thống kê thuộc Đại học Notre Dame (Úc) cho biết, một nhóm nghiên cứu Na Uy đã theo dõi 814.806 gia đình gồm 1.789.728 người. Mỗi gia đình có 2, 3, 4 hoặc 5 thành viên. Trong mỗi gia đình có 1, 2, ... người đã được 'miễn nhiễm' (tức đã tiêm văcxin hay đã bình phục sau khi bị nhiễm). Họ theo dõi những thành viên này trung bình chừng 1 tháng.

tiem-vx-va-lay-nhiem.jpg
Xác suất bị nhiễm trong nhà nếu chưa có ai được tiêm vắc xin hay miễn dịch. Gia đình càng đông người thì xác suất bị nhiễm càng cao

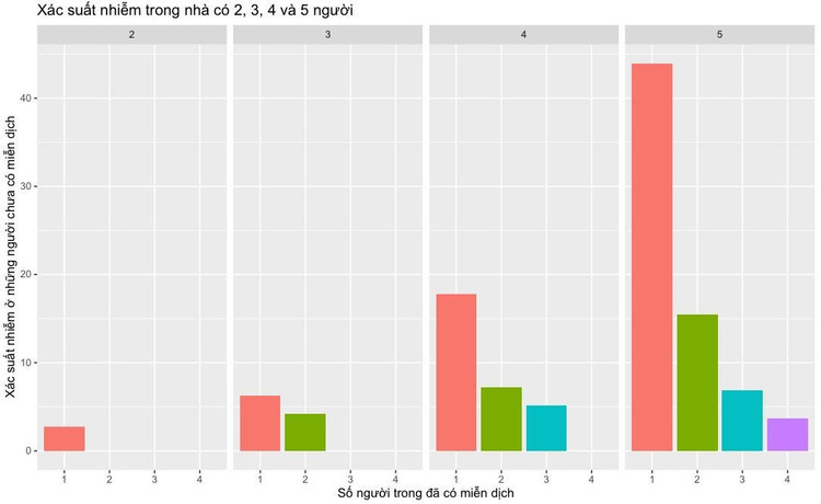
Trong thời gian đó, họ ghi nhận 5.7% (n = 88.797) thành viên gia đình bị nhiễm Covid. Tỉ lệ này khá cao, nhưng đó là thời điểm dịch đang ở cao điểm. Nhưng khi phân tích chi tiết hơn về số người miễn nhiễm trong gia đình thì thấy:

Gia đình với 2 người: nếu không có ai miễn nhiễm (tức chưa ai tiêm văcxin), thì xác suất bị nhiễm là 3.3%. Nhưng nếu có 1 người được đã tiêm văcxin thì xác suất người còn lại sẽ bị nhiễm là 2.7%. Như vậy, có 1 người miễn nhiễm trong gia đình giảm nguy cơ lây nhiễm chừng 20%.

Gia đình với 3 người: nếu chưa ai được tiêm văcxin thì xác suất bị nhiễm là 13%. Nếu có 1 người đã tiêm văcxin, thì xác suất 2 người chưa được tiêm bị nhiễm giảm xuống còn 6.3%. Nếu có 2 người được tiêm văcxin thì người chưa tiêm có xác suất bị nhiễm là 4.2%.

Gia đình với 4 người: Nếu chưa ai tiêm văcxin thì xác suất nhiễm là 42%. Nếu có 1 người được tiêm, thì 3 người còn lại có xác suất bị nhiễm là 18%. Nếu có 2 người đã tiêm, xác suất 2 người còn lại bị nhiễm là 7%. Nếu có 3 người đã tiêm, thì xác suất người thứ 4 sẽ bị nhiễm là 5%.

Gia đình 5 người: Nếu chưa ai tiêm văc xin, thì xác suất bị nhiễm lên đến 70%. Nhưng xác suất này giảm dần theo số người được tiêm văcxin. Nếu gia đình có 1 người miễn nhiễm thì xác suất 4 người còn lại bị nhiễm là 44%; Nếu có 2 người tiêm, thì xác suất bị nhiễm của 2 người còn lại bị nhiễm là 16%; Nếu 3 người miễn nhiễm, thì xác suất 2 người còn lại bị nhiễm còn 7%. Nhưng nếu có 4 người đã được tiêm văcxin thì xác suất người còn lại bị nhiễm chỉ còn khoảng 4%.

tiem-vx-va-lay-nhiem-1.jpg
Xác suất bị nhiễm trong nhà nếu đã có người được tiêm vắc xin hay miễn dịch. 

Những kết quả trên hết sức công phu và thú vị. Nó nói lên một quy luật mà chúng ta ai cũng cảm nhận được rằng:

• Gia đình càng có nhiều người thì xác suất lây nhiễm càng cao;

• Gia đình có người miễn nhiễm (qua văcxin hay tự nhiên) thì sẽ 'bảo vệ' cho những người còn lại rất đáng kể;

• Gia đình càng có nhiều người miễn nhiễm thì khả năng bảo vệ càng cao cho các thành viên còn lại.

Những kết quả trên cũng nói lên rằng tiêm chủng văcxin không chỉ giảm nguy cơ bị nhiễm cho 1 cá nhân, mà còn giúp giảm lây nhiễm cho những người chung quanh.

back to top