Gợi ý chi tiết lời giải bài thi Đánh giá năng lực môn Toán Trường ĐH Bách khoa Hà Nội

Gợi ý chi tiết lời giải bài thi Đánh giá năng lực môn Toán, Trường ĐH Bách khoa Hà Nội, ngày thi 15/7 do nhóm HAD-TEK thực hiện.

hadtek_loigiaidethinangluctoanbkhn_2022-01.jpg

Chiều 15/7, hơn 7.100 thí sinh đã hoàn thành bài thi môn Toán, Kỳ thi đánh giá của ĐH Bách khoa Hà Nội. Dưới đây là lời giải chi tiết lời giải bài thi Đánh giá năng lực môn Toán do TS Nguyễn Đình Hùng, TS Nguyễn Việt Anh, TS Lê Quý Dương, Viện Công nghệ HAD-TEK thực hiện. 

hadtek_loigiaidethinangluctoanbkhn_2022-02.jpg
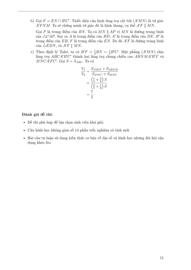
Theo đánh giá của các thầy giáo HAD-TEK, đề thi đánh giá năng lực môn Toán của Trường ĐH Bách khoa vừa qua phù hợp để lựa chọn học sinh khá, giỏi. Câu hình học không gian số 14 phần trắc nghiệm có tính mới. Hai câu tự luận sử dụng kiến thức cơ bản về hình học và đại số nhưng đòi hỏi sự vận dụng khéo léo.
hadtek_loigiaidethinangluctoanbkhn_2022-03.jpg
hadtek_loigiaidethinangluctoanbkhn_2022-04.jpg
hadtek_loigiaidethinangluctoanbkhn_2022-05.jpg
hadtek_loigiaidethinangluctoanbkhn_2022-06.jpg
hadtek_loigiaidethinangluctoanbkhn_2022-07.jpg
hadtek_loigiaidethinangluctoanbkhn_2022-08.jpg
hadtek_loigiaidethinangluctoanbkhn_2022-09.jpg
hadtek_loigiaidethinangluctoanbkhn_2022-10.jpg
hadtek_loigiaidethinangluctoanbkhn_2022-11.jpg
back to top