TP.HCM: Gợi ý đáp án đề thi môn Toán vào lớp 10 THPT

Giáo viên nhận định đề thi môn Toán vào lớp 10 của TP.HCM sáng nay 17/7, khá dài nhưng dễ làm, có tính ứng dụng thực tế cao. Dưới đây là gợi ý đáp án môn Toán, mời thí sinh tham khảo.

Thầy Nguyễn Mạnh Cường, giáo viên Toán tại Hệ thống Giáo dục HOCMAI nhận định: Đề thi có cấu trúc tương tự như năm 2019 với 8 bài, trong các bài có nhiều ý sắp xếp từ dễ tới khó. Nội dung đề thi không ra các nội dung đã được tinh giản của Bộ GD-ĐT.

Bài 1, 2: Bài toán cơ bản về đồ thị và phương trình bậc 2, dạng bài cơ bản học sinh dễ lấy điểm.

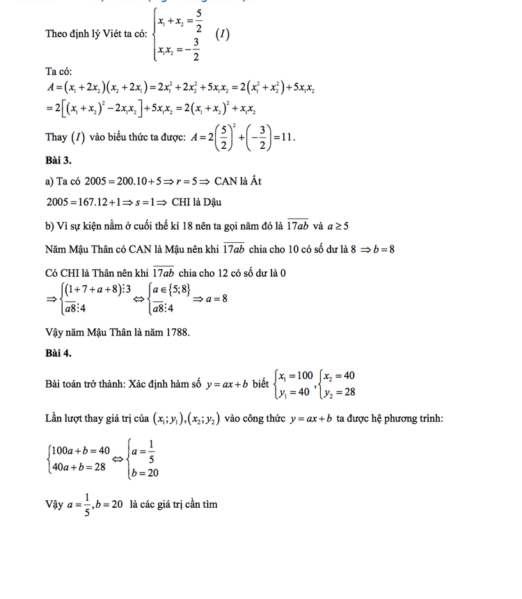
Bài 3: Bài toán thực tế liên quan tới phép chia và cần sử dụng các khái niệm số học từ lớp 6. Đề có thể làm khó học sinh ở khâu đọc đề vì đây là một bài toán cổ, đặc biệt phần kiến thức Số học ít khi xuất hiện trong đề thi công lập vào 10. Tuy nhiên, nội dung này không khó, khá hiển nhiên học sinh có thể tự nhận thấy tính chất để làm bài.

Bài 4, 5, 7 đều là các bài ở mức độ cơ bản giải toán bằng cách lập phương trình, hệ phương trình chỉ cần hiểu đề bài, đặt ẩn phù hợp là sẽ giải được.

Bài 6 về hình học không gian, sử dụng các công thức thể tích cơ bản. Tuy nhiên, đề bài có thêm khái niệm hao hụt trong quá trình lao động nên phát sinh thêm phép tính. Nội dung này không đánh đố, học sinh cần đọc kĩ và phân tích đề để sử dụng phép tính phù hợp.

Bài 8 về hình học phẳng với mô hình quen thuộc. 2 ý đầu đơn giản và không quá khó, học sinh hoàn toàn có thể hoàn thành tốt. Ý cuối của bài phức tạp, mang tính phân loại học sinh nhưng cũng không đánh đố.

Nhìn chung, phổ điểm sẽ rơi vào khoảng 7 tới 7,5 điểm. Đề khá dài nhưng dễ làm, có tính ứng dụng thực tế cao, phù hợp với xu hướng học Toán chung trên thế giới.

Thầy Hồng Trí Quang chia sẻ: Đề thi có sự phân hóa ở bài 3 (học sinh có thể gặp khó trong việc đọc hiểu đề bài), Bài 6 (ứng dụng thực tế của hình không gian), Bài 7 c (hình học).

Điểm thi năm ngoái của TP. HCM rất thấp, một phần là do học sinh bỡ ngỡ với dạng bài thi mới. Năm nay cấu trúc đề thi đã ổn định, học sinh đã được ôn tập với cấu trúc đề thi này. Thêm nữa, xét về mặt bằng chung thì đề thi năm nay không khó như đề thi năm ngoái. Phổ điểm tập trung khoảng 7 điểm.

Dưới đây là gợi ý đáp án môn Toán, mời thí sinh tham khảo:

TP.HCM: Gợi ý đáp án đề thi môn Toán vào lớp 10 THPT - 1
TP.HCM: Gợi ý đáp án đề thi môn Toán vào lớp 10 THPT - 2
TP.HCM: Gợi ý đáp án đề thi môn Toán vào lớp 10 THPT - 3
TP.HCM: Gợi ý đáp án đề thi môn Toán vào lớp 10 THPT - 4
dantri.com.vn
back to top