Thời sự

Thay đổi đề thi tiếng Anh tốt nghiệp để công bằng, hiệu quả

Thầy Hoàng Tăng Đức, giảng viên tiếng Anh, tác giả SGK từ lớp 1 đến 12 cho rằng đề thi tiếng Anh tốt nghiệp 2025 có nhiều điểm sáng, nhưng cần thay đổi.

"Năm nay, đề thi tiếng Anh tốt nghiệp THPT 2025 có nhiều đổi mới đáng ghi nhận nhưng cũng gợi mở không ít điều cần suy ngẫm, khi đặt vào thực tế dạy – học tiếng Anh ở phổ thông Việt Nam", thầy giáo Hoàng Tăng Đức, Giảng viên tiếng Anh, Trường Đại học Vinh, Tác giả SGK tiếng Anh lớp 1-12. bày tỏ quan điểm.

Những điểm tích cực đáng ghi nhận

Thầy Đức cho rằng đề thi tiếng Anh tốt nghiệp năm nay có nhiều điểm tiến bộ. Trước hết là tính xác thực cao. Nguồn ngữ liệu lấy từ văn bản thực – bài báo, quảng bá sự kiện, nội dung học thuật – giúp học sinh tiếp cận ngôn ngữ thật, thay vì chỉ “học để thi”.

z6740982344761-28a1ff66ac080cee90cdf23fafb5afed.jpg
Thí sinh tham dự Kỳ thi tốt nghiệp THPT năm 2025.

Đề thi cũng đã tập trung vào ngữ cảnh: Không còn kiểm tra ngữ pháp rời rạc, đề yêu cầu sử dụng từ ngữ phù hợp, sắp xếp đoạn logic, paraphrase đúng văn cảnh – đây là định hướng đúng trong đánh giá năng lực ngôn ngữ.

Điểm tích cực nữa, đề thi đã tiệm cận đánh giá toàn diện: Nhiều câu hỏi đánh giá năng lực tư duy ngôn ngữ như suy luận, tổng hợp, sắp xếp ý – phản ánh xu hướng kiểm tra năng lực thực, thay vì kiến thức rời rạc.

Đề cũng từng bước tiếp cận các kỳ thi quốc tế (IELTS, TOEFL): Đề thi cho thấy nỗ lực đánh giá theo chiều dọc – phân loại trình độ học sinh dựa trên năng lực thực hiện, chứ không đơn thuần kiểm tra kiến thức đồng loạt. Đây là hướng tiếp cận đánh giá hiện đại, nhưng cần rất nhiều điều kiện nền tảng để triển khai công bằng và hiệu quả.

Nghịch lý một kỳ thi, hai mục tiêu hoàn toàn khác nhau

Tuy nhiên, bên cạnh những điểm tích cực, theo thầy Đức, đề thi tồn tại nghịch lý lớn, đó là đang cố gắng cùng lúc phục vụ hai mục tiêu hoàn toàn khác nhau, đó là xét tốt nghiệp và tuyển sinh đại học.

hoang-trung-duc.jpg
Thầy giáo Hoàng Tăng Đức. Ảnh: NVCC.

Với mục tiêu tốt nghiệp THPT, chỉ cần đảm bảo học sinh hoàn thành chương trình, tức chỉ cần đạt chuẩn B1 (bậc 3) theo Thông tư 32/2018/TT-BGDĐT.

Trong khi đó, với mục tiêu xét tuyển đại học lại đòi hỏi đề thi có tinh thần phân loại rõ năng lực học thuật, đặc biệt cho các trường tốp đầu, các câu hỏi phải ở mức B2–C1 để đảm bảo tính phân hóa.

“Hai mục tiêu – hai logic đánh giá hoàn toàn khác nhau – nhưng lại bị gói trong 40 câu hỏi trách nhiệm khách quan của một đề duy nhất. Và hậu quả là: đề bị kéo về phía học thuật, còn chuẩn đầu ra B1 trở nên mờ nhạt”, thầy Đức phân tích.

Những hệ quả đáng lo ngại

Điều này, theo thầy Đức sẽ dẫn tới hệ quả đáng lo ngại. Học sinh vùng khó khăn bị ảnh hưởng nặng nề: Nhiều em, đặc biệt ở nông thôn, miền núi, chỉ học để “đủ tốt nghiệp”, nay bị đánh giá bởi đề thi vượt chuẩn với nhiều câu C1, không phù hợp với năng lực thực tế.

Cơ hội của các em cũng bị thu hẹp ngay từ lựa chọn ban đầu. Nhiều người sẽ lập luận rằng tiếng Anh là môn tự chọn trong kỳ thi tốt nghiệp THPT, nếu học chưa tốt thì có thể chọn môn khác. Nhưng nói như vậy là bỏ quên một sự thật nghiệt ngã: phải chăng một học sinh ở vùng nông thôn, dù điều kiện còn hạn chế nhưng có ý chí, có nỗ lực tự học tiếng Anh, lại ngay từ đầu không dám, và không thể chọn thi môn tiếng Anh chỉ vì biết trước đề thi sẽ “quá sức”?

“Vậy công bằng nằm ở đâu, khi chính quyền được lựa chọn cũng trở thành một điều xa xỉ?”, thầy Đức đặt câu hỏi.

Một hệ lụy nữa, theo thầy Đức, là giáo viên phổ thông lúng túng trong định hướng. Họ phải đứng giữa hai lựa chọn: dạy theo chuẩn chương trình (B1) hay chạy theo luyện thi kiểu đề ra thiên lệch về B2–C1, dẫn đến mất phương hướng trong giảng dạy.

Gia đình và xã hội cũng gánh thêm áp lực. Phụ huynh, đặc biệt là ở khu vực khó khăn buộc phải chi thêm tiền học thêm, luyện đề, tạo nên gánh nặng kinh tế không nhỏ. Điều này làm sâu sắc thêm khoảng cách giữa các vùng miền và tầng lớp, đi ngược lại nguyên lý công bằng trong giáo dục công lập.

Trong khi đó, chương trình 2018 ghi rõ. “Sau khi học xong môn Tiếng Anh cấp trung học phổ thông, học sinh có thể đạt được trình độ tiếng Anh Bậc 3 theo Khung năng lực ngoại ngữ 6 bậc dùng cho Việt Nam. Cụ thể: Có thể hiểu được các ý chính trong một bài phát biểu hoặc đoạn văn rõ ràng, chuẩn mực về những chủ đề quen thuộc trong công việc, học tập hoặc giải trí; có thể xử lý hầu hết các tình huống xảy ra ở nơi sử dụng ngôn ngữ đó; có thể viết các đoạn văn đơn giản về những chủ đề quen thuộc hoặc liên quan đến mối quan tâm cá nhân; có thể mô tả kinh nghiệm, sự kiện, ước mơ, hy vọng, hoài bão, đồng thời trình bày ngắn gọn lý do, giải thích ý kiến và kế hoạch của bản thân”.

“Tuy nhiên, đề thi lại không có bất kỳ dạng câu hỏi viết nào thực sự đáp ứng được mục tiêu nêu trên – thậm chí cũng không có dạng bài chọn câu phù hợp với mục đích giao tiếp cá nhân. Đề không yêu cầu học sinh bày tỏ trải nghiệm, suy nghĩ hay quan điểm cá nhân để qua đó thể hiện phẩm chất, hành vi đúng đắn. Thay vào đó, đề thi chủ yếu tập trung kiểm tra kỹ năng đọc hiểu, vốn từ vựng và tư duy học thuật ở mức độ cao, vượt quá chuẩn đầu ra đã được quy định”, thầy Đức nêu quan điểm.

Thay đổi đề kỳ thi thực sự công bằng và hiệu quả hơn

Đề kỳ thi thực sự công bằng và hiệu quả hơn, thầy Đức cho rằng, cần phân tách mục tiêu rõ ràng: Nếu vẫn duy trì kỳ thi “hai trong một” (vừa xét tốt nghiệp, vừa xét tuyển đại học), cần công bố minh bạch tỷ lệ câu hỏi theo các bậc năng lực (B1 – B2 – C1). Tốt hơn nữa, nên có phần thi riêng phục vụ tuyển sinh đại học để đảm bảo đúng chức năng và mục tiêu của từng đối tượng.

z6746969925123-16fc1129a213a03fb637c4f0c742a738.jpg
z6746969947498-8f2a5216a8a884acdab126b0c2593251.jpg
z6746969934046-607418225c4f36ce60511f54a576b0d4.jpg
z6746969962560-4907be9a5322b681e07e7f723136cbed.jpg
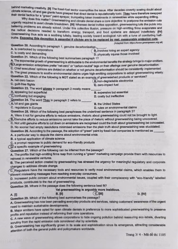
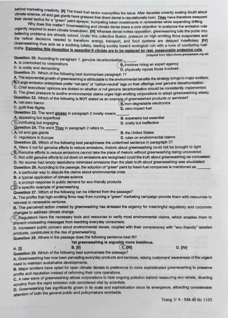
Đề thi môn Tiếng Anh, Kỳ thi tốt nghiệp THPT 2025, Mã đề 1105.

Cùng với đó, tăng nội dung phản ánh đúng năng lực thực tế: Đề thi cần có thêm phần đánh giá kỹ năng viết, mô tả trải nghiệm cá nhân hoặc lập luận đơn giản (có thể thiết kế dưới dạng trắc nghiệm khách quan) – đúng với yêu cầu của Bậc 3 theo Khung NLNN 6 bậc, đã được quy định trong chương trình GDPT 2018.

Đề thi cần tôn trọng chuẩn đầu ra của chương trình GDPT: Việc ra đề cần dựa trên các yêu cầu cần đạt chính thức của chương trình – tránh vượt chuẩn quá mức. Nếu không, sẽ dẫn đến sai lệch mục tiêu dạy – học, tạo bất công và áp lực không cần thiết cho người học.

Một điều cũng rất quan trọng, đó là có sự chuẩn bị đồng bộ và thay đổi tư duy dạy – học. Trước bất kỳ điều chỉnh lớn nào của kỳ thi, cần có một quá trình chuẩn bị chu đáo, sâu rộng và có hệ thống dành cho cả giáo viên và học sinh. Giáo viên cần được bồi dưỡng để hiểu rõ tinh thần đổi mới của chương trình, từ đó thay đổi cách tiếp cận – không chỉ dạy kiến thức ngôn ngữ rời rạc mà phải giúp học sinh phát triển năng lực sử dụng ngôn ngữ trong các tình huống giao tiếp thực tế, liên hệ với các vấn đề xã hội và toàn cầu. Học sinh cũng cần được định hướng đúng đắn rằng học tiếng Anh là để sử dụng, để hội nhập, chứ không chỉ để thi.

“Tôi chia sẻ những điều này không phải để phán xét, mà để tất cả chúng ta, giáo viên, học sinh, phụ huynh, nhà quản lý và người ra đề cùng nhìn lại một cách trung thực, tỉnh táo và có trách nhiệm”, thầy Đức bày tỏ.

5 điểm cốt lõi, theo thầy Đức cần lưu ý:

1. Một đề thi có thể rất sắc sảo về học thuật. Nhưng nếu nó xa rời mục tiêu của chương trình, không phản ánh đúng năng lực số đông học sinh, thì đó chưa phải là một đề thi thành công. Và điều đau buồn nhất là cái ta đang kiểm tra không còn là năng lực ngôn ngữ – mà là mức độ chịu đựng trước áp lực bất tương xứng.

2. Trong một kỳ thi quốc gia – nơi quyết định tương lai của hàng trăm ngàn học sinh – sự công bằng không phải là đặc ân, mà là nguyên tắc tối thiểu.

3. Giáo dục không phải là cuộc đua của người giỏi nhất, mà là hành trình mở lối cho tất cả.

4. Nếu đổi mới chỉ khiến kỳ thi “cao hơn, khó hơn” mà quên mất những học sinh đang loay hoay bên lề, hoặc bị bỏ lại phía sau, thì chúng ta đang đánh mất chính mục tiêu mà giáo dục phổ thông theo đuổi: trao cơ hội, chứ không tước đi hy vọng.

5. Là người trực tiếp giảng dạy, giáo viên tiếng Anh cần nhìn xa hơn những cấu trúc ngữ pháp hay mẹo làm bài. Dạy ngôn ngữ không chỉ là dạy kiến thức rời rạc, mà phải đưa học sinh tiếp cận ngôn ngữ trong những tình huống giao tiếp thực tế, gần với cuộc sống và gắn với các vấn đề mà thế giới đang quan tâm. Chúng ta cần giúp các em hiểu rằng học tiếng Anh là để sử dụng – để kết nối, để hiểu thế giới và để thay đổi cuộc sống chứ không chỉ là để vượt qua một kỳ thi.

“Một kỳ thi đúng nghĩa là kỳ thi mở ra cánh cửa chứ không đóng lại ước mơ. Giáo viên, học sinh, phụ huynh, người ra đề và nhà quản lý hãy cùng xây dựng một kỳ thi không chỉ đúng về chuyên môn, mà còn đúng về đạo lý giáo dục”, thầy Đức nhấn mạnh.

back to top