Thời sự

Gợi ý lời giải môn Toán kỳ thi tốt nghiệp THPT 2025

Phổ điểm môn Toán kỳ thi tốt nghiệp THPT năm nay dự kiến rơi vào khoảng 6 điểm. Dưới đây là gợi ý lời giải chi tiết môn Toán kỳ thi tốt nghiệp THPT 2025.

Nhận xét về đề thi môn Toán, Kỳ thi tốt nghiệp THPT 2025, nhiều thí sinh cho biết đề khó, không thể làm được. “Sau khi thi môn Toán về, cháu bỏ cơm, mất tinh thần”, phụ huynh Hoàng Diệu Hóa (Việt Trì, Phú Thọ) chia sẻ.

z6740982370957-39979f833eaf53534f8fd52d7439462e.jpg
Thí sinh tham dự Kỳ thi tốt nghiệp THPT năm 2025.

Một số chuyên gia, giáo viên Toán học cũng cho rằng đề môn Toán quá khó và không bám sát đề thi minh họa khiến thí sinh bị “sốc”. Phổ điểm trung bình sẽ ở khoảng 6 điểm.

Trao đổi với phóng viên, nhóm giáo viên chuyên Toán tại Hà Nội gồm TS Bùi Việt Hà, TS Nguyễn Đình Hùng, TS Nguyễn Quang Đạt, TS Lê Quý Dương, TS Nguyễn Việt Anh và ThS Hoàng Thị Hoa đánh giá, để đạt từ 7 điểm trở lên, học sinh cần phải nắm vững kiến thức nền tảng của cả 3 lớp 10, 11, 12 và có sự ôn tập kỹ lưỡng. “Để đạt điểm 8-9, phải là học sinh giỏi, nắm chắc kiến thức. Có điểm 10 môn Toán nhưng không nhiều”, nhóm giáo viên nhận định. HS giỏi xuất sắc mới làm được các câu 3.4.5.6 phần 3. Dự đoán khoảng 40-50% HS dưới trung bình.

Cụ thể, cấu trúc đề thi được phân tích như sau:

Phần I (Trắc nghiệm 12 câu): Kiến thức nằm ở chương trình lớp 11 và 12. Ở phần này, học sinh chỉ cần nắm vững kiến thức cơ bản là có thể làm được trọn điểm.

Phần II (Chọn Đúng, sai): Câu 1 về xác suất có điều kiện gây khó khăn cho những bạn học trung bình và khá. Câu 2 là câu cơ bản của dựng hàm số lớp 12, học sinh nắm vững kiến thức sẽ đạt điểm tối đa. Câu 3 là bài toán thực tế, nếu nắm vững phần hàm số và ứng dụng, học sinh có thể làm trọn điểm câu a, b, c. Câu 4 về hình học sẽ gây khó khăn cho học sinh trung bình, trong khi học sinh khá, giỏi không gặp khó khăn.

Phần III: Câu 1 về hình học không gian lớp 11 không gây khó. Câu 2 về bài toán xác suất, doanh thu là dạng quen thuộc, xuất hiện nhiều ở các đề thi thử nên học sinh không gặp khó khăn.

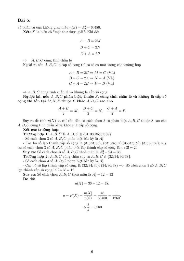
Dưới đây là Gợi ý đáp án chi tiết đề thi môn Toán kỳ thi tốt nghiệp THPT năm 2025, mã đề 0123 do nhóm giáo viên chuyên Toán thực hiện:

z6748093409121-edc0be515677eee0a8bb8e9ec2070cc7.jpg
z6748093415734-e39c9cf5d1a80ae4a68bb941a6956965.jpg
z6748093417191-45899c4deab17ae848202b1e2f7f9c7a.jpg
z6748093417170-61120b51ad42af42b8ecab382eaead9f.jpg
5.jpg
z6748093421177-2ec0c3ad702e3e7d80618dc225ffc408.jpg
dap-an-toan-bai-6.jpg
back to top