Điểm chuẩn các trường thuộc ĐH Quốc gia Hà Nội năm 2021

Điểm chuẩn các khoa, trường thành viên ĐH Quốc gia Hà Nội năm 2021 được Báo VietNamNet cập nhật nhanh nhất, để phụ huynh và các thí sinh tham khảo cho việc xét tuyển đại học năm 2021.

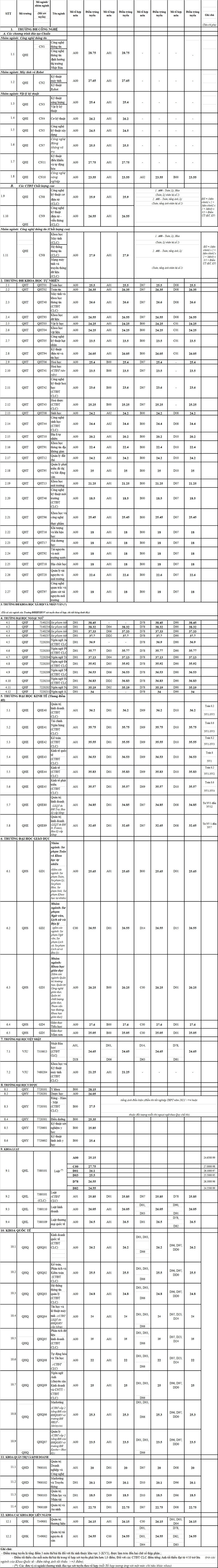
Điểm chuẩn cụ thể như sau:

Điểm chuẩn các trường thuộc ĐH Quốc gia Hà Nội năm 2021
Điểm chuẩn ĐH Quốc gia Hà Nội năm 2021

Điểm trúng tuyển của trường ĐH Khoa học Xã hội và nhân văn như sau:

Điểm chuẩn các trường thuộc ĐH Quốc gia Hà Nội năm 2021

Năm 2021, ĐH Quốc gia Hà Nội tuyển sinh 11.250 chỉ tiêu, với 132 ngành/chương trình đào tạo (chuẩn, chất lượng cao, tài năng, tiên tiến) thuộc các lĩnh vực: Khoa học tự nhiên, Khoa học Xã hội và nhân văn, Công nghệ - Kỹ thuật, Kinh tế - Luật, Y – Dược, Khoa học giáo dục và đào tạo giáo viên với nhiều phương thức xét tuyển.

Trước đó, GS.TSKH Nguyễn Đình Đức - Trưởng Ban Đào tạo, ĐH Quốc gia Hà Nội cho biết, tổng số đăng ký xét tuyển chỉ tiêu tuyển sinh đại học chính quy của các đơn vị trong ĐH Quốc gia Hà Nội (tính đến 19h ngày 5/9/2021) là 129.806 thí sinh đăng ký xét tuyển.  

ĐH Quốc gia Hà Nội cũng công bố toàn cảnh chỉ tiêu và hồ sơ đăng ký xét tuyển vào các trường, khoa thành viên. Tính bình quân toàn ĐH Quốc gia Hà Nội thì tỉ lệ đăng ký xét tuyển (số hồ sơ xét tuyển/ chỉ tiêu) là 1:14. Khoa Luật có tỉ lệ cao nhất là 1:18; thấp nhất là Trường Đại học Việt Nhật là 1:8.

Từ ngày 17/9 đến 17h ngày 26/9, thí sinh xác nhận nhập học trực tuyến vào ĐH Quốc gia Hà Nội.

Sau khi xác nhận nhập học thành công, thí sinh sẽ tiến hành nhập học trực truyến từ 21/9 đến trước 17h ngày 30/9.

>>> Mời quý phụ huynh và học sinh tra cứu điểm chuẩn đại học năm 2021

vietnamnet.vn
back to top