Thí sinh Hà Nội trước giờ làm bài thi môn Toán vào lớp 10 sáng nay. (Ảnh: Đỗ Linh)
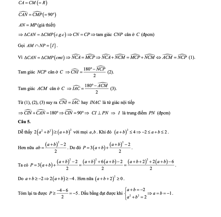
Đề thi môn Toán vào lớp 10 của Hà Nội năm 2021 - 2022.
Thí sinh Hà Nội trước giờ làm bài thi môn Toán vào lớp 10 sáng nay. (Ảnh: Đỗ Linh)
Đề thi môn Toán vào lớp 10 của Hà Nội năm 2021 - 2022.
Giải bóng chuyền Cúp Hùng Vương 2026 diễn ra từ 23-26/4 tại Phú Thọ, quy tụ 8 đội mạnh nhất, thi đấu loại trực tiếp, tổng thưởng cao nhất 200 triệu đồng.
VFF bổ nhiệm ông Hoàng Văn Phúc làm huấn luyện viên trưởng đội tuyển nữ Việt Nam, hướng tới thành tích cao tại ASIAD 20 và SEA Games 34.
Alix Trương đánh dấu bước đi mới khi trở thành đại diện thương hiệu tại thị trường pickleball Việt Nam.
Vòng chung kết U15 Quốc gia 2026 có 12 đội bóng tranh tài, diễn ra vào tháng 4 tại TPHCM.
ĐT Việt Nam giành chiến thắng thuyết phục 3-1 trước Malaysia, qua đó khẳng định vị thế khi toàn thắng tại bảng F vòng loại AFC Asian Cup 2027.
Giải bóng đá hạng Nhì QG 2026 có 14 đội tham dự. Ba đội có thành tích tốt nhất sẽ giành quyền thăng hạng lên Giải hạng Nhất quốc gia mùa giải 2026/27.